Solutions d'exercices
-
Exercice 11-1 : Une méthode à pas multiples
-
Exercice 11-3 : Application de la méthode du point milieu
-
Exercice 11-5 : Application de l’algorithme d’Euler (1/2)
-
Exercice 11-7 : Application de l’algorithme d’Euler (2/2)
-
Exercice 11-9 : Application d’un algorithme à pas multiples
-
Exercice 11-11 : Mouvement d’une planète autour d’un centre fixe
Projets
Assistance gravitationnelle
Au mois d’août 2014, la sonde Rosetta est parvenue au voisinage de la comète 67P/ Churyumov-Gerasimenko, après un voyage de dix ans. Au cours de ce périple, la sonde a été accélérée à plusieurs reprises par « assistance gravitationnelle ». De quoi s'agit-il ? Ce projet, et l'animation associée, vous permettront d'analyser ce procédé de mécanique.
Dynamique moléculaire d'un gaz
La dynamique moléculaire se propose de calculer les trajectoires de tous les atomes d'un échantillon. Dans le cas d'un gaz monoatomique, on en déduit l'équation d'état et des propriétés comme les chaleurs spécifiques ou la viscosité. Ce projet concerne un modèle simple : un ensemble de disques se déplaçant dans un plan. L'accent est mis sur la production d'une animation représentant les mouvements des atomes au cours du temps.
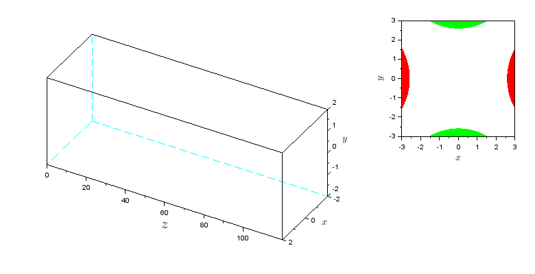
Analyseur de masse quadripolaire
Comment fonctionne un spectromètre de masse quadripolaire ? C'est la question à laquelle vous pourrez répondre en suivant les étapes de ce projet : mise en équations de la trajectoire d'un ion, résolution numérique des équations différentielles du mouvement, analyse de la stabilité des trajectoires et du pouvoir séparateur. L'animation ci-dessous montre le mouvement d’un ion au sein de l'analyseur (à gauche : en perspective, à droite : coupe transverse).
Henri, Michaelis, Menten et la cinétique enzymatique
Dans le monde vivant, la plupart des réactions chimiques sont catalysées par des enzymes. Henri, Michaelis et Menten ont été les premiers, au début du 20e siècle, à analyser quantitativement la cinétique d'une réaction enzymatique. L'évolution des concentrations au cours du temps est décrite par un système d'équations différentielles non linéaires. Le projet comporte trois parties : l'étude qualitative des solutions du système différentiel, la résolution numérique des équations et enfin l'ajustement, par la méthode des moindres carrés, des paramètres du modèle sur les données originelles de Michaelis et Menten.
La machine de Zeeman
Qu'est-ce qu'une catastrophe (au sens de R. Thom) ? Pour découvrir quelques aspects de la théorie des catastrophes, simulez le fonctionnement du montage de C. Zeeman
Le chemostat
Le chemostat est un "bio-réacteur" à volume constant inventé indépendamment par A. Novik, L. Szilard et J. Monod pour étudier la dynamique des populations de microbes et les phénomènes de régulation qui s'y rapportent. Comment réagissent les microorganismes face à un changement brusque de leur apport en aliments ? Comment plusieurs espèces compétitionnent-elles pour un même aliment ?
Complétez la simulation décrite dans le livre à l'aide de l’article ci-dessous à télécharger :
Résolution des équations de Bloch
Je vous propose de simuler quelques expériences de Résonance Magnétique Nucléaire (précession libre, passage adiabatique rapide, excitation sélective) en résolvant numériquement le système d'équations différentielles de Bloch.
Collisions atomiques
Je vous invite à étudier, dans le cadre de la mécanique classique, la collision entre un atome d'hydrogène et une molécule de dihydrogène. Pour certaines valeurs des paramètres, une réaction chimique se produit : l'atome d'hydrogène central change de partenaire.
Pour réaliser la simulation, vous aurez besoin de l’énergie potentielle du système en fonction des coordonnées des atomes, disponible sous forme de fonction Scilab
energ(x1,x2).
Pour en savoir plus :
Compléments
Traduction en Python d'exemples donnés en Scilab dans le livre :
-
Listing 11.1 : Mouvement du pendule traité par l’algorithme d’Euler Programme à télécharger
-
Listing 11.2 : Mouvement du pendule traité par l’algorithme de Runge-Kutta. Ces programmes écrits en Python permettent de résoudre, par la méthode de Runge-Kutta d’ordre 2 et d’ordre 4, le système différentiel régissant le mouvement du pendule.
-
Listing 11.4 : Programme de prédiction-correction pour le pendule Programme à télécharger
-
Listing supplémentaire. Ce programme (à télécharger) écrit en Python permet de résoudre l’équation différentielle du pendule à l’aide d’un sous-programme de la bibliothèque Scipy.
Liens
Polycopiés des cours d’analyse numérique de MM. E. Hairer et G. Wanner
http://www.unige.ch/~hairer/polycop.html : voir ch. 3, équations différentielles ordinaires
Notes de cours du Pr. Paul Charbonneau, ch. 4
http://www.astro.umontreal.ca/~paulchar/phy1234/phy1234.html